Evaluación de la eficiencia del biochar de bambú en la eliminación de microcistina-LR del agua
DOI:
https://doi.org/10.26461/27.06Palabras clave:
biomasa, pirólisis, carbón, adsorción, cianotoxinaResumen
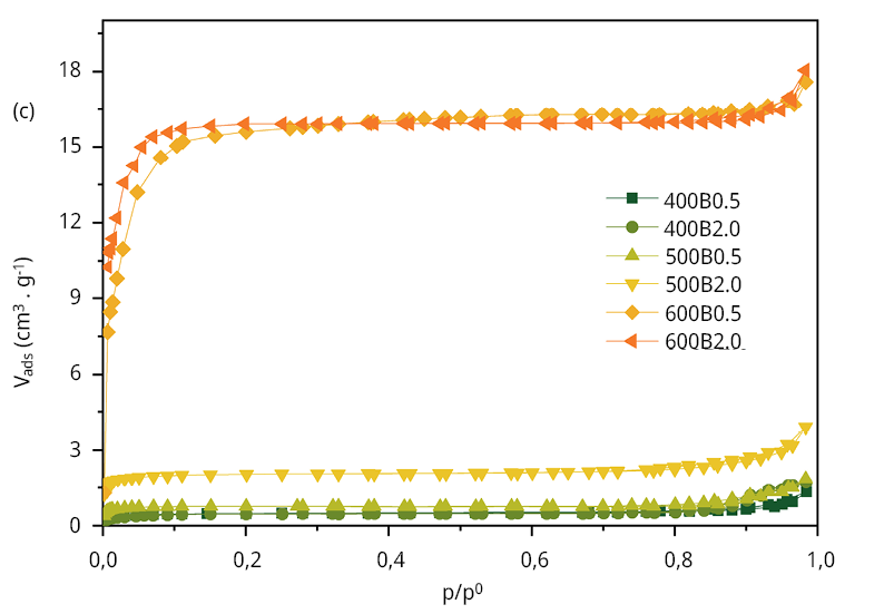
Es fundamental desarrollar adsorbentes sostenibles y rentables para eliminar la microcistina-LR (MCLR). Se pirolizó Bambusa Tuldoides a varias temperaturas (400, 500 y 600 °C) y tiempos de residencia (0,5 y 2 h) para producir una serie de biochares. La capacidad de adsorción de MCLR observada (219 μg g-1 para una muestra de 600B0.5) en condiciones de pH similares a las de una planta de tratamiento de agua (pH = 7.6) se atribuye principalmente a las interacciones hidrofóbicas, el apilamiento π-π y la naturaleza básica de los biochares (pHpzc > 8). Un análisis exhaustivo, que incluye FTIR, análisis elemental y próximo, TG, SEM, adsorción de N2, porosimetría de Hg y espectroscopia Raman, respalda este hallazgo. Además, para comparar el 600B0.5 con un carbón activado disponible comercialmente, se realizó un estudio dinámico utilizando agua contaminada real. La muestra 600B0.5 exhibe una eficiencia de eliminación del 99,5 %, lo que da como resultado una concentración final de 0.28 μg L-1, muy por debajo del valor de referencia de la Organización Mundial de la Salud de 1 μg L-1.
Descargas
Citas
American Society for Testing and Materials, 2021. D3172-13, reapproved 2021: Proximate analysis of coal and coke. West Conshohocken: ASTM.
Carmichael, W. W. and Boyer, G. L., 2016. Health impacts from cyanobacteria harmful algae blooms: implications for the North American great lakes. In: Harmful Algae, 54, pp. 194–212. DOI: https://doi.org/10.1016/J.HAL.2016.02.002
Chaturvedi, K.; Singhwane, A.; Dhangar, M.; Mili, M.; Gorhae, N.; Naik, A.; Prashant, N.; Srivastava, A. K. and Verma, S., 2023. Bamboo for producing charcoal and biochar for versatile applications. En: Biomass Conv. Bioref. DOI: https://doi.org/10.1007/s13399-022-03715-3
Chen, B. and Chen, Z., 2009. Sorption of naphthalene and 1-naphthol by biochars of orange peels with different pyrolytic temperatures. In: Chemosphere, 76(1), pp. 127–133. DOI: https://doi.org/10.1016/j.chemosphere.2009.02.004
El Bouaidi, W.; Enaime, G.; Loudiki, M.; Yaacoubi, A.; Douma, M.; Ounas, A. and Lübken, M., 2022. Adsorbents used for microcystin removal from water sources: current knowledge and future prospects. In: Processes, 10(7), pp. 1–23. DOI: https://doi.org/10.3390/pr10071235
Fries, M. and Steele, A., 2010. Raman spectroscopy and confocal Raman imaging in mineralogy and petrography. In: Springer Series in Optical Sciences, 158, pp. 111–135. DOI: https://doi.org/10.1007/978-3-642-12522-5_6/
Frišták, V.; Laughinghouse, H. D. and Bell, S. M., 2020. The use of biochar and pyrolysed materials to improve water quality through microcystin sorption separation. In: Water (Switzerland), 12(10), pp. 1–19. DOI: https://doi.org/10.3390/w12102871
Li, J.; Cao, L.; Yuan, Y.; Wang, R.; Wen, Y. and Man, J., 2018. Comparative study for microcystin-LR sorption onto biochars produced from various plant- and animal-wastes at different pyrolysis temperatures: Influencing mechanisms of biochar properties. In: Bioresource Technology, 247(July 2017), pp. 794–803. DOI: https://doi.org/10.1016/j.biortech.2017.09.120
Li, L.; Qiu, Y.; Huang, J.; Li, F. and Sheng, G. D., 2014. Mechanisms and factors influencing adsorption of Microcystin-LR on biochars. In: Water, Air, and Soil Pollution, 225(12). DOI: https://doi.org/10.1007/s11270-014-2220-6
Liu, G.; Zheng, H.; Zhai, X. and Wang, Z., 2018. Characteristics and mechanisms of microcystin-LR adsorption by giant reed-derived biochars: Role of minerals, pores, and functional groups. En: Journal of Cleaner Production, 176, pp. 463–473. DOI: https://doi.org/10.1016/j.jclepro.2017.12.156
Manals-Cutiño, E.; Penedo-Medina, M. and Giralt-Ortega, G., 2011. Análisis termogravimétrico y térmico diferencial de diferentes biomasas vegetales [Online]. In: Tecnología Química, XXXI(2), pp. 36–43. [Accessed: 12 april 2024]. Retrieved from: https://www.redalyc.org/articulo.oa?id=445543773005
Melaram, R.; Newton, A. R. and Chafin, J., 2022. Microcystin contamination and toxicity: implications for agriculture and public health. In: Toxins, 14(5). DOI: https://doi.org/10.3390/TOXINS14050350
Odoemelam, S.; Onwu, F.; Uchechukwu, S. and Chinedu, M., 2015. Adsorption Isotherm Studies of Cd(ll) and Pb(ll) Ions from Aqueous Solutions by Bamboo-Based Activated Charcoal and Bamboo Dust. In: American Chemical Science Journal, 5(3), pp. 253–269. DOI: https://doi.org/10.9734/acsj/2015/14425
Park, J. A.; Kang, J. K.; Jung, S. M.; Choi, J. W.; Lee, S. H.; Yargeau, V. and Kim, S. B., 2020. Investigating Microcystin-LR adsorption mechanisms on mesoporous carbon, mesoporous silica, and their amino-functionalized form: Surface chemistry, pore structures, and molecular characteristics. In: Chemosphere, 247, 125811. DOI: https://doi.org/10.1016/j.chemosphere.2020.125811
Pavagadhi, S.; Tang, A. L. L.; Sathishkumar, M.; Loh, K. P. and Balasubramanian, R., 2013. Removal of microcystin-LR and microcystin-RR by graphene oxide: Adsorption and kinetic experiments. In: Water Research, 47(13), pp. 4621–4629. DOI: https://doi.org/10.1016/j.watres.2013.04.033
Pendleton, P.; Schumann, R. and Wong, S. H., 2001. Microcystin-LR Adsorption by activated carbon. In: Journal of Colloid and Interface Science, 240(1), pp. 1–8. DOI: https://doi.org/10.1006/JCIS.2001.7616
Ren, X.; Wang, Y.; Zhang, K.; Ding, Y.; Zhang, W.; Wu, M.; Xiao, B. and Gu, P., 2023. Transmission of microcystins in natural systems and resource processes: a review of potential risks to humans health. In: Toxins, 15(7). DOI: https://doi.org/10.3390/toxins15070448
Rouquerol, J.; Llewellyn, P. and Rouquerol, F., 2007. Is the bet equation applicable to microporous adsorbents? In: Studies in Surface Science and Catalysis, 160, pp. 49–56. DOI: https://doi.org/10.1016/S0167-2991(07)80008-5
Teng, W.; Wu, Z.; Fan, J.; Chen, H.; Feng, D.; Lv, Y.; Wang, J.; Asiri, A. M. and Zhao, D., 2013a. Ordered mesoporous carbons and their corresponding column for highly efficient removal of microcystin-LR. In: Energy and Environmental Science, 6(9), pp. 2765–2776. DOI: https://doi.org/10.1039/c3ee41775a
Teng, W.; Wu, Z.; Feng, D.; Fan, J.; Wang, J.; Wei, H.; Song, M. and Zhao, D., 2013b. Rapid and efficient removal of microcystins by ordered mesoporous silica. In: Environmental Science and Technology, 47(15), pp. 8633–8641. DOI: https://doi.org/10.1021/es400659b
Thommes, M.; Kaneko, K.; Neimark, A. V.; Olivier, J. P.; Rodriguez-Reinoso, F.; Rouquerol, J. and Sing, K. S. W., 2015. Physisorption of gases, with special reference to the evaluation of surface area and pore size distribution (IUPAC Technical Report). In: Pure and Applied Chemistry, 87(9–10), pp. 1051–1069. DOI: https://doi.org/10.1515/pac-2014-1117
Uruguay. Agencia Reguladora de Compras Estatales, 2022. Licitación abreviada 23041/2022 [Online]. Montevideo: Administración de las Obras Sanitarias del Estado. [Accessed: 24 april 2024]. Available at: https://www.comprasestatales.gub.uy/consultas/detalle/id/i366680
Uruguay. Ministerio de Vivienda Ordenamiento Territorial y Medioambiente, 2020. Informe, evolución de la calidad del agua en la cuenca del Río Santa Lucía [Online]. Montevideo: DINAMA. [Accessed: 12 april 2024]. Available at: https://www.gub.uy/ministerio-ambiente/sites/ministerio-ambiente/files/documentos/publicaciones/Informe-Santa-Lucia-2015-2019.pdf
Verma, S.; Kumar, P.; and Lavrenčič Štangar, U., 2023. A Perspective on removal of cyanotoxins from water through advanced oxidation processes. In: Global Challenges, 2300125, pp. 1–11. DOI: https://doi.org/10.1002/gch2.202300125
Wei, L. and Lu, J., 2021. Adsorption of microcystin-LR by rice straw biochars with different pyrolysis temperatures. In: Environmental Technology and Innovation, 23, 101609. DOI: https://doi.org/10.1016/j.eti.2021.101609
World Health Organization, 2020. Cyanobacterial toxins: microcystins. Background document for development of WHO Guidelines for drinking-water quality and Guidelines for safe recreational water environments [Online]. Ginebra: WHO. [Accessed: 24 april 2024]. Available at: https://apps.who.int/iris/handle/10665/338066
Yan, H.; Gong, A.; He, H.; Zhou, J.; Wei, Y. and Lv, L., 2006. Adsorption of microcystins by carbon nanotubes. In: Chemosphere, 62(1), pp. 142–148. DOI: https://doi.org/10.1016/j.chemosphere.2005.03.075
Zegura, B., 2016. An overview of the mechanisms of Microcystin-LR genotoxicity and potential carcinogenicity. In: Mini-Reviews in Medicinal Chemistry, 16(13), pp. 1042–1062. DOI: https://doi.org/10.2174/1389557516666160308141549
Zhang, H.; Zhu, G.; Jia, X.; Ding, Y.; Zhang, M.; Gao, Q.; Ciming, H. and Xu, S., 2011. Removal of microcystin-LR from drinking water using a bamboo-based charcoal adsorbent modified with chitosan. In: Journal of Environmental Sciences, 23(12), pp. 1983–1988. DOI: https://doi.org/10.1016/S1001-0742(10)60676-6
Descargas
Archivos adicionales
- Tabla 1 (English)
- Tabla 2 (English)
- Tabla 3 (English)
- Tabla 4 (English)
- Tabla a1 (English)
- Figura 1a (English)
- Figura 1b (English)
- Figura 1c (English)
- Figura 1d (English)
- Figura 2 (English)
- Figura 3 (English)
- Figura a1a (English)
- Figura a1b (English)
- Figura a2 (English)
- Figura a3 (English)
- Figura a4 (English)
- Figura a5 (English)
- Figura a5b (English)
- Figura a6 (English)
- Figura a7 (English)
- Figura a8 (English)
Publicado
Cómo citar
Número
Sección
Licencia
Derechos de autor 2024 Yanaína Castro, Camila Hernández, Ana Claudia Pina, Diana Míguez, Mirian Elizabeth Casco

Esta obra está bajo una licencia internacional Creative Commons Atribución-NoComercial 4.0.
Los autores del manuscrito declaran conocer y aceptar los siguientes términos de responsabilidad:
Haber participado lo suficiente en el trabajo como para hacer pública la responsabilidad por su contenido.
Que el manuscrito representa un trabajo original que no fue publicado ni está siendo considerado por otra revista para su publicación, en parte o en forma íntegra, tanto impresa como electrónica.
Que en caso de ser solicitado, procurará o cooperará en la obtención y suministro de datos sobre los cuales el manuscrito esté basado.
Declara que la información divulgada que pudiera pertenecer a un tercero cuenta con la autorización correspondiente.
Autorización para la publicación y compromiso de cita de primera publicación
Los autores/as conservan los derechos de autor y ceden a la revista INNOTEC / INNOTEC Gestión el derecho de la primera publicación, con el trabajo registrado con la licencia de atribución Creative Commons Reconocimiento-NoComercial 4.0 Internacional. Creative Commons, que permite a terceros utilizar lo publicado siempre que mencionen la autoría del trabajo y a la primera publicación en esta revista sin fines comerciales.
El autor se compromete a realizar la cita completa de la edición institucional de esta primer publicación en las siguientes publicaciones -completas o parciales- efectuadas en cualquier otro medio de divulgación, impreso o electrónico.
Los autores/as pueden realizar otros acuerdos contractuales no comerciales independientes y adicionales para la distribución no exclusiva de la versión del artículo publicado en esta revista (p. ej., incluirlo en un repositorio institucional o publicarlo en un libro) siempre que indiquen claramente que el trabajo se publicó por primera vez en esta revista.
Se permite a los autores/as publicar su trabajo en Internet (por ejemplo en páginas institucionales o personales) antes y durante el proceso de revisión, ya que puede conducir a intercambios productivos y a una mayor y más rápida difusión del trabajo publicado (vea The Effect of Open Access). A su vez los autores/as autorizan al LATU a publicar el trabajo en su repositorio digital.
Los conceptos y opiniones vertidos en los artículos son de responsabilidad de sus autores.
Este obra está bajo una licencia Reconocimiento-NoComercial 4.0 Internacional.




